Çünür TOKİ Kura Sonuçları Açıklandı
Isparta Merkez Çünür Mahallesi’nde inşa edilen sosyal konutlar için beklenen kura çekimi gerçekleşti.
Yayınlanma:
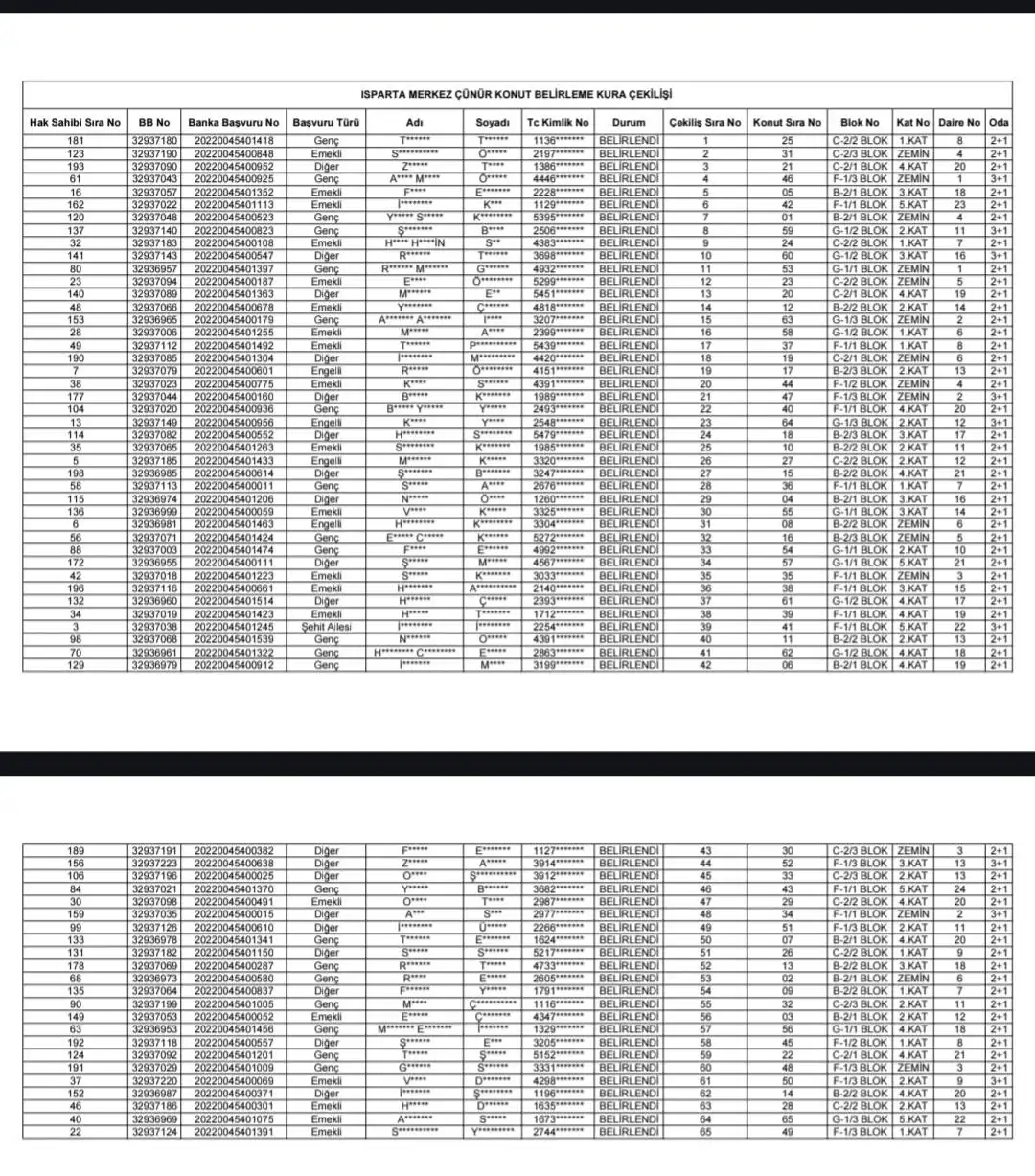
Toplu Konut İdaresi Başkanlığı (TOKİ) tarafından hayata geçirilen 250 Bin Sosyal Konut Projesi kapsamında Isparta Merkez Çünür Mahallesi’nde inşa edilen sosyal konutlar için beklenen kura çekimi gerçekleşti.
17 Kasım tarihinde saat 10.00’da noter huzurunda yapılan kura çekilişinde, toplam 65 adet konut için hak sahipleri belirlendi.
Projede:
• 56 adet 2+1 nitelikli konut,
• 9 adet 3+1 nitelikli konut sahiplerini buldu.

Küfür, hakaret, rencide edici cümleler veya imalar, inançlara saldırı içeren, imla kuralları ile yazılmamış, Türkçe karakter kullanılmayan ve büyük harflerle yazılmış yorumlar onaylanmamaktadır.